נקטר אגבה
Paul Bergner בתגובה לשאלה בקשר לאיכות של נקטר אגבה.
הסוכרים מצויים בפירות בד"כ כתערובת של סוכרוז, גלוקוז ופרוקטוז, כשהם קשורים עם סיבים. הם אינם מצויים בפרי במצב חופשי. כשאנו אוכלים פרי, אנחנו מקבלים כמות קטנה יחסית של פרוקטוז חופשי. יש הבדל בין השימוש בגלוקוז ובפרוקטוז בגוף.
גלוקוז מתחמצן בתאים בתהליך ארוך שנקרא מעגל קרבס, שבסופו נוצרות מולקולות של ATP, שהן המקור לאנרגיה זמינה בגוף. כניסת מולקולות של גלוקוז למעגל קרבס מווסתת על ידי אנזימים. כשריכוז ATP מגיע לריוויון תהיה האטה בתהליך של הגליקוליזה. חדירות הגלוקוז לתאים מווסתת גם היא על יד האינסולין שמופרש מהלבלב. הפיכת הגלוקוז לגליקוגן ואגירתו בכבד מווסתת על ידי הורמונים שמפקחים על התהליך של גלוקוז-גליקוגן-גלוקוז.
אין וויסות כזה בגוף לגבי הפרוקטוז. הוא נכנס למעגל קרבס בנקודה שונה מהגלוקוז, אחרי נקודת הפיקוח. הסוכרוז שמגיע מהמזון מתפרק במערכת העיכול לגלוקוז ופרוקטוז. הגלוקוז עובר עם זרם הדם לכל תאי הגוף ונכנס למעגל המווסת של הגליקוליזה. הפרוקטוז עובר ומציף את מעגל קרבס ללא ביקורת וללא וויסות. בגוף האדם אין מנגנון של פיקוח לשימוש בפרוקטוז.
הכבד שצריך להתמודד עם הצפה של פרוקטוז פועל בכמה דרכים. הוא מייצר שומן מהפרוקטוז, בהמשך הוא מגביר ייצור של אנזימים שמייצרים שומנים, מקטין ייצור של ATP על ידי מעגל קרבס, וגורם לעמידות לאינסולין. אם היתה נמשכת רגישות לאינסולין, היתה חדירה מוגזמת של גלוקוז אל התאים, ואז היה הכבד מקבל הוראה להפסיק לשלוח גלוקוז אל הגוף. הפתרון שנוקט הגוף הוא לגרום לעמידות לאינסולין ולהפחית כניסה של גלוקוז לתאים.
מדענים מייחסים לשימוש המוגזם בפרוקטוז במוצרי הדיאטה את העמידות שהתפתחה בתוך שנים מועטות לאינסולין ולהשמנה.
בשנות השבעים של המאה ה-20 הוציאה התעשיה לשוק סירופ מתירס עשיר בפרוקטוז. הוא הכיל 45% גלוקוז ו-55% פרוקטוז. בסירופ זה הפרוקטוז היה חופשי לא קשור לסיבים ולא מחובר בקשר כימי לגלוקוז. מערכת העיכול לא היתה צריכה לטרוח לפרק את הקשר בין הגלוקוז והפרוקטוז, והוא זרם לכבד בחופשיות והציף אותו. השתמשו בסירופ מתירס להמתקת מוצרים דלי קלוריות. המתיקו אתו משקאות קלים. מכרו אותם כמוצרי דיאט, כמזון ללא סוכר. הציגו את הסירופ העשיר בפרוקטוז כמוסיף בריאות, כי הוא לא דורש התערבות של אינסולין, ולא גורם לעליה בריכוז גלוקוז בדם.
בבדיקות דם בדקו ריכוז של טריגליצרידים בצום, ולא הבחינו בריכוז הגבוה שלהם במשך היום אחרי הארוחות. העמידות לאינסולין הלכה ועלתה, וזה גרם לתופעה שקראו לה סינדרום X. היום קוראים לתופעה זו הסינדרום המטבולי. היא התבטאה בעליה בעליה בלחץ הדם, ברמת הסוכר בדם, בעליה ברמת הכולסטרול ובהשמנה. כל התופעות האלה נעשו שכיחות כבר בשנות ה-80 של המאה ה-20.
מכינים סירופ עשיר בפרוקטוז מהתירס על ידי תהליך כימי שבו חותכים מולקולות של סוכר. כך משחררים את הפרוקטוז. בתהליך זה מכינים גם סירופ של אגבה, שהוא צמח עשיר באינולין. חיתוך מולקולות הסוכר מהאגבה גורם לסירופ שמכינים ממנו להכיל 80-90% של פרוקטוז. הוא מסוכן והרסני יותר מהסירופ שהכינו מהתירס, והרבה יותר מסוכן מכפית אחת או שתיים של סוכר.
Paul Bergner פורסם ב- Herbal Hall.
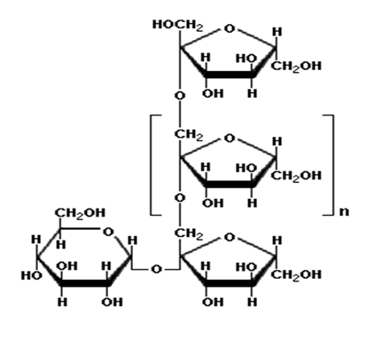
אינולין

האינולין הוא פולימר של D-fructofuranose. הוא מורכב מכ-35 שאריות של פרוקטוז, הקשורות בקשר בטא, ובקצה השרשרת שארית גלוקוז טרמינלית. אינולין מיוצר בצמח כחומר תשמורת. הוא נאגר בווקואולה של תאים צמחיים במשפחות מסוימות. הוא התגלה לראשונה בטיון- Inula, ונקרא אינולין על שמו. הוא נפוץ במשפחת המורכבים והפעמוניתיים- Campanulaceae.
מפיקים את האינולין משורש של צמחים ממשפחת המורכבים. הוא משמש בתעשיית המזון כתחליף לשומן, וכן כהעשרה בסיבים. שימוש תעשייתי נוסף הוא הפקת פרוקטוז.
אינולין אינו נספג ואינו נעכל. הוא נמס היטב במים חמים ושוקע כשהמים מתקררים. על תכונה זו מתבססת הפקת האינולין מהצמחים. הוא נמס מעט במים קרים ובאלכוהול.
ריכוז אינולין בכמה צמחים: (1)
Cichorium intybus 11-58% עולש
Arctium lappa 9-50% לפה
Inula helenium 11-44% טיון השמש
Tataxacum officinale 25-40% שינן רפואי
Echinaceae spp. 5.9-20% מיני קפודנית
Saussurea lappa 18%
צמחים המכילים ריכוז גבוה של אינולין מומלצים לסכרתיים (1). האינולין ממלא את דרכי העיכול ונותן תחושת שובע, אולם מכיוון שאינו נעכל או נספג אין לו השפעה על ריכוז הגלוקוז בדם. משתמשים בצמחים עשירים באינולין להכנת ערכות המסייעות להורדת משקל.
בדומה ל- fructooligosaccharides, אינולין משמש מזון מועדף ללקטובצילים המצויים במעי (2). במחקר שנערך על השפעת האינולין על חיידקי המעי, נתנו למשתתפים 15 ג' ליום של אינולין במשך 15 יום (2). הראו עליה של 10% של Lactobacillus bifidum. כתוצאה מפירוק האינולין על ידי החיידקים נוצרות חומצות שומניות קצרות שרשרת, כגון, חומצה אצטית, פרופיונית ובוטירית (3, 4)
אינולין, שנמס רק מעט מאד באלכוהול, אינו מצוי בטינקטורות שמכינים מהצמחים המכילים אותו בריכוז גבוה. ברפואה המסורתית השתמשו בצמחים אלה כמירתח (1), והמליצו עליהם לחיזוק הטחול ודרכי העיכול (6,5).
משתמשים באינולין כבדיקה לקביעת תפקוד הכליות. מזריקים לווריד אינולין בריכוז של 10%. אם תפקוד הכליות תקין, הוא ייפלט כולו ובשלמותו לשתן. אם מוצאים שיירים של אינולין בדם ניתן להסיק שיש בעיות בתפקודי הכליות.
מקורות
1. Bergner P. Inulin Medical Herbalism, 2001, 9: 20-21.
2. Gibson GR. Beatty ER, Wang X. Cumming JH. Selective stimulation of bifidobacteria in the human colon by oligofructose and inulin, Gastroenterology, 1995, 108: 975-982.
3. Roberfroid M. Dietary fiber, inulin and oligofructose; a review comparing their physiological effects. Crit. Rev. Food Sci. 1993, 33; 103-148.
4. Ready BS, Hamid R. Rao CV. Effect of dietary oligofructose and inulin on colonic preneoplastic aberrant crypt loci inhibition. Carcinogenesis, 1997, 18: 1371-1374.
5. Felter HW. The Eclectic Materia Medica, Pharmacognosy, and Therapeutics. Portland, Oregon: Eclectic Medical Publications, 1922.
6. Hsu HY. Oriental Materia Medica: A Concise Guide, Long Beach, California: Oriental Healing Arts Institute, 1986.